O‘zbekiston Respublikasi Vazirlar Mahkamasining 2025-yil 21-apreldagi “Bo‘sh turgan davlat ko‘chmas mulk obyektlarini xatlovdan o‘tkazish va ulardan samarali foydalanishni tashkil etish chora-tadbirlari to‘g‘risida” 247-son qarori shu mazmundagi viloyat hokimining 2025-yil 8-maydagi 231-6-0-Q/25-son qarori ijrosi to‘g‘risida
Qarorga tuzatish kiritish to‘g‘risida
Uychi tumanidan auksion savdolariga chiqarilgan yer uchastkalariga mulk huquqini davlat ro‘yxatidan o‘tkazish to‘g‘risida
O‘zbekiston Respublikasi Vazirlar Mahkamasining 2025-yil 13-maydagi “Dehqon xo‘jaliklari va tomorqa yer egalari faoliyatini qo‘llab-quvvatlashga doir chora-tadbirlar to‘g‘risida” 317-son qarori, shu mazmundagi viloyat hokimining 2025-yil 24-maydagi 250-6-0-Q/25-sonli qarori ijrosi to‘g‘risida
O‘zbekiston Respublikasi Vazirlar Mahkamasining “Favqulodda holat joriy etilgan hududda uy-joy fondini tiklash, jismoniy va yuridik shaxslarga yetkazilgan zararning o‘rnini qoplash va kompensatsiyalar to‘lash ishlarini tashkil etish chora-tadbirlari to‘g‘risida” 2025-yil 5-maydagi 293-son va ushbu mazmundagi viloyat hokimining 2025-yil 19-maydagi 236-6-0-Q/25-sonli qarori ijrosi to‘g‘risida
O‘zbekiston Respublikasi Prezidentining 2025-yil 15-apreldagi “Qarzdorlik hisobiga banklar balansiga olingan mol-mulklar realizatsiyasini jadallashtirish chora-tadbirlari to‘g‘risida” PQ–142-son qarori shu mazmundagi viloyat hokimining 2025-yil 5-maydagi 220-6-0-Q/25-son qarori ijrosi to‘g‘risida
O‘zbekiston Respublikasi Prezidentining “Yoqilg‘i-energetika sohasida bozor mexanizmlarini joriy etishda ehtiyojmand aholini davlat tomonidan qo‘llab- quvvatlashning qo‘shimcha chora-tadbirlari to‘g‘risida” 2025-yil 2-apreldagi PQ–134-son shu mazmundagi viloyat hokimining 2025-yil 30-apreldagi 218-6-0-Q/25-son qarori ijrosi to‘g‘risida
O‘zbekiston Respublikasi Vazirlar Mahkamasining 2025-yil 21-apreldagi “Bo‘sh turgan davlat ko‘chmas mulk obyektlarini xatlovdan o‘tkazish va ulardan samarali foydalanishni tashkil etish chora-tadbirlari to‘g‘risida” 247-son qarori shu mazmundagi viloyat hokimining 2025-yil 8-maydagi 231-6-0-Q/25-son qarori ijrosi to‘g‘risida
Qarorga tuzatish kiritish to‘g‘risida
Qarorga tuzatish kiritish to‘g‘risida
Qarorga tuzatish kiritish to‘g‘risida
Qarorga tuzatish kiritish to‘g‘risida
Uychi tumanidan auksion savdolariga chiqarilgan yer uchastkalariga mulk huquqini davlat ro‘yxatidan o‘tkazish to‘g‘risida
O‘zbekiston Respublikasi Vazirlar Mahkamasining “Sog‘liqni saqlash va ta’lim tashkilotlarida ichimlik suvi hamda sanitariya-gigiyena infratuzilmasini kengaytirishga qaratilgan “Toza qo‘llar” dasturini amalga oshirish chora- tadbirlari to‘g‘risida” 2025-yil 6-maydagi 297-sonli hamda viloyat hokimining 2025-yil 21-maydagi 246-6-0-Q/25-sonli qarori ijrosi haqida
O‘zbekiston Respublikasi Vazirlar Mahkamasining “Umummilliy birdamlik bog‘larini tashkil etish chora-tadbirlari to‘g‘risida” 2025-yil 17-apreldagi 235-sonli hamda viloyat hokimining 2025-yil 24-maydagi 251-6-0-Q/25-sonli qarori ijrosi to‘g‘risida1
Uychi tuman hokimligiga 2025 yil aprel oyidan qo‘riqlash xizmatidan bo‘lgan qarzdorlikni bartaraf etish uchun mablag‘ ajratish to‘g‘risida
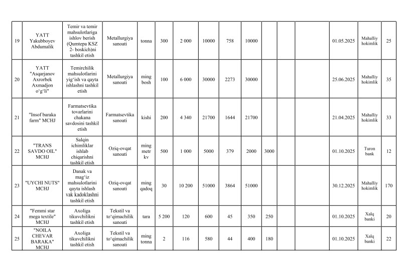
O‘zbekiston Respublikasi Vazirlar Mahkamasining 685-sonli qaroriga asosan, Uychi tumanidan auksion savdolariga chiqarilgan yer uchastkalariga mulk huquqini davlat ro‘yxatidan o‘tkazish to‘g‘risida
O‘zbekiston Respublikasi Vazirlar Mahkamasining 685-sonli qarori talablari asosida, Uychi tumanidan auksion savdolariga chiqarilgan yer uchastkalariga mulk huquqini davlat ro‘yxatidan o‘tkazish to‘g‘risida
O‘zbekiston Respublikasi Vazirlar Mahkamasining “Fuqarolik jamiyatini rivojlantirish konsepsiyasini 2025-yilda amalga oshirish chora-tadbirlari to‘g‘risida” 2025-yil 2-maydagi 288-sonli, shu haqidagi viloyat hokimining 2025-yil 12-maydagi 234-6-0-Q/25-sonli qarorlari ijrosi haqida
O‘zbekiston Respublikasi Prezidentining “Pedagog kadrlar tayyorlash tizimini yanada takomillashtirish chora-tadbirlari to‘g‘risida” 2025-yil 28-apreldagi PF–73-son Farmoni, hamda Namangan viloyati hokimining 2025-yil 08-maydagi 232-6-0-Q/25-sonli qarorini tumanda ijrosini taʼminlash haqida
O‘zbekiston Respublikasi Prezidentining “Tibbiyot sohasida kadrlar tayyorlash tizimini tubdan takomillashtirish chora-tadbirlari to‘g‘risida” 2025- yil 22-apreldagi PQ–149-sonli hamda viloyat hokimining 2025-yil 6-maydagi 223-6-0-Q/25-sonli qarorlarini tumanda ijrosini taʼminlash haqida
O‘zbekiston Respublikasi Vazirlar Mahkamasining “O‘zbekiston Respublikasi Hukumatining ayrim qarorlariga sport sohasida davlat boshqaruvini samarali tashkil etishga qaratilgan o‘zgartirish va qo‘shimchalar kiritish to‘g‘risida” 2025-yil 29-apreldagi 275-sonli, shu haqidagi viloyat hokimining 2025-yil 6-maydagi 222-6-0-Q/25-sonli qarorlari ijrosi haqida
O‘zbekiston Respublikasi Prezidentining 2025-yil 14-apreldagi “Qurilish va uy-joy kommunal xo‘jaligi sohasida davlat nazoratini samarali tashkil qilish chora-tadbirlari to‘g‘risida”gi PF-66-son Farmoni shu mazmundagi viloyat hokimining 2025-yil 28-apreldagi 207-6-0-Q/25-sonli qarori ijrosi to‘g‘risida
O‘zbekiston Respublikasi Prezidentining 2025-yil 28-martdagi “Respublika hududlarida mikro gidroelektr stansiyalari tarmog‘ini rivojlantirish bo‘yicha qo‘shimcha chora-tadbirlar to‘g‘risida” PQ–129-son qarori shu mazmundagi viloyat hokimining 2025-yil 29-apreldagi 211-6-0-Q/25-sonli qarori ijrosi haqida
O‘zbekiston Respublikasi Vazirlar Mahkamasining 2025-yil 2-apreldagi “Avtomobil transportida yo‘lovchi tashish faoliyatini tartibga solish bo‘yicha qo‘shimcha chora-tadbirlar to‘g‘risida” 200-son qarori shu mazmundagi viloyat hokimining 2025-yil 30-apreldagi 215-6-0-Q/25-sonli qarori ijrosi haqida
O‘zbekiston Respublikasi Prezidentining “Korrupsiyaga qarshi kurashish tizimini yanada takomillashtirish bo‘yicha belgilangan ustuvor vazifalar ijrosini samarali tashkil etishga doir chora-tadbirlar to‘g‘risida” 2025-yil 21-apreldagi PF-71-sonli Farmoni hamda Namangan viloyati hokimining 2025-yil 30-apreldagi 213-6-0-Q/25-sonli qarori ijrosi haqida
O‘zbekiston Respublikasi Prezidentining “Davlat organlari va tashkilotlarining korrupsiyaga qarshi ichki nazorat bo‘linmalari mustaqilligini ta’minlash hamda faoliyati samaradorligini oshirish chora-tadbirlari to‘g‘risida” 2025-yil 21-apreldagi PQ–147-son qarori ijrosi haqida
O‘zbekiston Respublikasi Prezidentining “O‘zbekiston Respublikasi Millatlararo munosabatlar va xorijdagi vatandoshlar masalalari bo‘yicha qo‘mitasi faoliyatini samarali tashkil etish chora-tadbirlari to‘g‘risida” 2025-yil 19-martdagi PQ-115-sonli qarori hamda viloyat hokimining 2025-yil 2-apreldagi 155-6-0-Q/25-sonli qarori ijrosi haqida
O‘zbekiston Respublikasi Vazirlar Mahkamasining 2025-yil 31-martdagi 196-F/26xdfu-sonli hamda shu mazmundagi viloyat hokimining 2025-yil 4-apreldagi 55-6-0-F/25 xdfu-sonli farmoyishi ijrosini tumanda ta’minlash maqsadida, “Mahalliy davlat hokimiyati to‘g‘risida”gi O‘zbekiston Respublikasi Qonunining 6 va 211-moddalariga muvofiq,
Qarorga tuzatish kiritish to‘g‘risida
“O‘zbekiston Respublikasi Prezidentining “Qishloq xo‘jaligi mahsulotlarining eksport salohiyatini oshirish hamda qayta ishlash zanjirini rivojlantirish bo‘yicha qo‘shimcha chora-tadbirlar to‘g‘risida” 2025-yil 8-apreldagi PQ–136-sonli qarori ijrosi haqida”gi Namangan viloyati hokimining 2025-yil 28-apreldagi 208-6-0-Q/25-sonli qarorini tumanda bajarilishini ta`minlash to’g’risida
“O‘zbekiston Respublikasi Vazirlar Mahkamasining “O‘zbekiston Respublikasi Qishloq xo‘jaligi vazirligi huzuridagi Agrosanoatni rivojlantirish agentligi faoliyatini tartibga soluvchi normativ-huquqiy hujjatlarni tasdiqlash to‘g‘risida” 2025-yil 23-apreldagi 255-sonli qarori ijrosi haqida”gi Namangan viloyati hokimining 2025-yil 28-apreldagi 209-6-0-Q/25-sonli qarorini tumanda bajarilishini ta`minlash to’g’risida
O‘zbekiston Respublikasi Prezidentining “Umummilliy totuvlik va xorijdagi vatandoshlar bilan aloqalarni mustahkamlashni yangi bosqichga olib chiqishga oid chora-tadbirlar to‘g‘risida” 2025-yil 19-martdagi PF-52-sonli Farmoni hamda viloyat hokimining 2025-yil 2-aprel 157-6-0-Q/25-sonli qarori ijrosi to‘g‘risida
Uychi tumanida “Ayollar daftari”ni yuritish bo‘yicha olib borilayotgan ishlar, 6-bosqich “Ayollar daftari” ro‘yxati va “Yo‘l xarita”sini tasdiqlash to‘g‘risida
Uychi tumanidan auksion savdolariga chiqarilgan yer uchastkalariga bo‘lgan mulk huquqini davlat ro‘yxatidan o‘tkazish to‘g‘risida
“O‘zbekiston Respublikasi Vazirlar Mahkamasining “Respublikada limonchilik sohasini qo‘llab-quvvatlash bo‘yicha qo‘shimcha chora-tadbirlar to‘g‘risida” 2025-yil 2-apreldagi 198-son qarori ijrosi haqida”gi Namangan viloyati hokimining 2025-yil 18-apreldagi 198-6-0-Q/25-sonli qarorini tumanda bajarilishini ta`minlash to’g’risida
O‘zbekiston Respublikasi Prezidentining “Xalqaro shartnomani tasdiqlash to‘g‘risida” 2025-yil 18-martdagi PQ–108-son qarori ijrosi hamda viloyat hokimining 2025-yil 7-apreldagi 162-6-0-Q/25-sonli qarori haqida
“O‘zbekiston Respublikasi Vazirlar Mahkamasining “O‘zbekiston Respublikasi Hukumatining ayrim qarorlariga o‘zgartirish va qo‘shimchalar kiritish to‘g‘risida” 2025-yil 11-apreldagi 221-son qarori ijrosi haqida”gi Namangan viloyati hokimining 2025-yil 17-apreldagi 188-6-0-Q/25-sonli qarorini bajarilishini ta`minlash to‘g‘risida
Uychi tuman tibbiyot birlashmasining 2024-yil mobaynida hamda 2025-yil 1 chorak davomida amalga oshirilgan ishlar yuzasidan hisoboti to‘g‘risida
Huquqbuzarliklar profilaktikasi, jamoat tartibini saqlash va fuqarolar xavfsizligini ta’minlash borasida 2025-yilning 1-choragi davomida amalga oshirilgan ishlar to‘g‘risida tuman Ichki ishlar bo‘limi boshlig‘ining o‘rinbosari, jamoat xavfsizligi xizmati boshlig‘i M.Pozilovning hisoboti to‘g‘risida
Qarorga tuzatish kiritish to‘g‘risida
“O‘zbekiston Respublikasi Vazirlar Mahkamasining “Mineral o‘g‘itlar va o‘simliklarni himoya qilish uchun foydalaniladigan kimyoviy vositalarni majburiy raqamli markirovkalash tizimini joriy etish to‘g‘risida” 2025-yil 8-apreldagi 203-son qarori ijrosi haqida” Namangan viloyati hokimining 2025-yil 11-apreldagi 183-6-0-Q/25-son qarorini tumanda bajarilishini ta`minlash to`g`risida
Uychi tumanidagi davlat ahamiyatiga ega bo‘lgan D-109 “Namangan-Uychi Uchqo‘rg‘on” avtomobil yo‘lining 13-16 km oralig‘ida ichimlik suvi tarmog‘i tortish ishlari amalga oshirilganligi munosabati bilan, yo‘lni kesib o‘tuvchi tarmoqlarni tortish uchun qazish va montaj ishlari olib borilishiga ruxsat berish to‘g‘risida.
Namangan viloyati hokimining 2025-yil 19-martdagi “O‘zbekiston Respublikasi Prezidentining “Xotin-qizlar tadbirkorligini rivojlantirishni qo‘llab-quvvatlashga oid qo‘shimcha chora-tadbirlar to‘g‘risida” 2025-yil 7-martdagi PQ–96-son qarori ijrosi haqida”gi 138-6-0-Q/25-sonli qarori to‘g‘risida
Xalq deputatlari Uychi tuman Kengashining 2025-yil 28-fevraldagi “Uychi tuman mahalliy byudjetining 2025-yil boshiga shakllangan erkin qoldiq mablag‘larni yo‘naltirish to‘g‘risida”gi VII-6-25-6-86-K/25-sonli qaroriga o‘zgartirish kiritish to‘g‘risida
Tuman hududida egaligi aniqlanmagan elektr qurilmalarini tuman elektr taʼminoti korxonasi tasarrufiga berish to‘g‘risida
Uychi tumanida O‘zbekiston Respublikasi “Ochiq byudjet” axborot portali orqali fuqarolar tomonidan berilgan takliflarga ovoz berish yakunlari bo‘yicha g‘olib deb topilgan loyihalarni tasdiqlash va mablag‘larini yo‘naltirish to‘g‘risida
Uychi tumanida 2026-2028-yillarda ijtimoiy va ishlab chiqarish infratuzilmasini rivojlantirish dasturi to‘g‘risida
Uychi tuman hokimining qurilish, kommunikatsiyalarni rivojlantirish, ekologiya va ko‘kalamzorlashtirish masalalari bo‘yicha o‘rinbosarining sohada olib borilayotgan ishlar yuzasidan hisoboti to‘g‘risida.
O’zbekiston Respublikasi Prezidentining 2024-yil 5-yanvardagi “Quyi bo’g’inda suv resurslarini boshqarish tizimini takomillashtirish hamda suv resurslaridan foydalanish samaradorligini oshirish chora-tadbirlari to’g’risida”gi PQ 5-son qarori ijrosi haqida
Olimpiya va Paralimpiya harakati, ixtisoslashtirilgan va ommaviy sportni yangi bosqichga olib chiqish hamda aholi jismoniy faolligini oshirish bo‘yicha Uychi tumanida 2025-2028-yillarda amalga oshiriladigan ishlar yuzasidan “YO‘L XARITASI”ni tasdiqlash to‘g‘risida.
O‘zbekiston Respublikasi Prezidentining 2025-yil 21-fevraldagi “Uy-joy va ipoteka bozorini yanada rivojlantirishga oid qo‘shimcha chora-tadbirlar to‘g‘risida” PF-26-sonli Farmoni hamda shu mazmundagi viloyat hokimining 2025-yil 5-martdagi 111-6-0-Q/25-sonli qarori ijrosi to‘g‘risida
Namangan tumanlararo ma’muriy sudining 2025-yil 24-fevraldagi 5-1601- 2503/91-sonli ma’muriy ish bo‘yicha chiqarilgan hal qiluv qarorini tumanda ijrosini ta’minlash haqida
O‘zbekiston Respublikasi Vazirlar Mahkamasining 2025-yil 28-fevraldagi “O‘zbekiston Respublikasi tog‘-kon sanoati va geologiya vazirligi huzuridagi tog‘- kon sanoati va geologiya sohasini nazorat qilish inspeksiyasi faoliyatini tashkil etish chora-tadbirlari to‘g‘risida” 131-sonli qarori hamda shu mazmundagi viloyat hokimining 2025-yil 13-martdagi 120-6-0-Q/25-sonli qarori ijrosi haqida
“O‘zbekiston Respublikasi Vazirlar Mahkamasining “Agrosanoat majmuida davlat nazorati tizimi yanada takomillashtirilishi munosabati bilan O‘zbekiston Respublikasi Hukumatining ayrim qarorlariga o‘zgartirish va qo‘shimchalar kiritish to‘g‘risida” 2025-yil 1-apreldagi 197-son qarori ijrosi haqida”gi Namangan viloyati hokimining 2025-yil 7-apreldagi 161-6-0-Q/25 sonli qarorini tumanda bajarilishini ta`minlash to’g’risida
Qarorga tuzatish kiritish to‘g‘risida
Uychi tumani, Bogʻ mahalla fuqarolar yigʻini “Beruniy 2” koʻchasi va unga tutash koʻchalarda avtotransportlarni harakatlanishini vaqtinchalik muddatga toʻxtatish toʻgʻrisida
O‘zbekiston mahallalari uyushmasining Uychi tuman bo‘limining bildirishnomasiga asosan “Oqtosh” MFYni joriy ta’mirlash uchun, tuman obodonlashtirish boshqarmasiga “Navro‘z” bayram tadbirini o‘tkazish xarajatlariga mablag‘ ajratish to‘g‘risida
O‘zbekiston Respublikasi “Byudjet Kodeksi”ning 73-moddasiga asosan
O‘zbekiston Respublikasi Vazirlar Mahkamasining 2025-yil 26-fevraldagi “Yoqilg‘i-energetika resurslaridan foydalanishda sodir etilgan huquqbuzarliklar uchun xo‘jalik yurituvchi subyektlarga nisbatan huquqiy ta’sir choralarini qo‘llash tartibi to‘g‘risidagi nizomni tasdiqlash haqida” 121-sonli qarori shu mazmundagi viloyat hokimining 2025-yil 13-martdagi 124-6-0-Q/25-sonli qarori ijrosi to‘g‘risida
O‘zbekiston Respublikasi Vazirlar Mahkamasining “Moskva shahridagi Butunrossiya ko‘rgazma markazi hududida joylashgan “O‘zbekiston Respublikasi ko‘rgazma madaniy markazi” ekspozitsion markazi faoliyatini takomillashtirish chora-tadbirlari to‘g‘risida” 2025-yil 7-martdagi 147-son qarori ijrosi hamda viloyat hokimining 2025-yil 12 mart 119-6-0Q/25-sonli qarori haqida
O‘zbekiston Respublikasi Prezidentining “Xalqaro shartnomani tasdiqlash to‘g‘risida” 2025-yil 24-fevraldagi PQ–74-son qarori hamda viloyat hokimining2025-yil 28-fevraldagi 109-6-0-Q/25-sonli qarori haqida
O‘zbekiston Respublikasi Prezidentining “Xalqaro shartnomani tasdiqlash to‘g‘risida” 2025-yil 24-fevraldagi PQ–73-son qarori ijrosi hamda viloyat hokimining 2025-yil 28-fevraldagi 108-6-0-Q/25-sonli qarori haqida
“O‘zbekiston Respublikasi Vazirlar Mahkamasining “Respublika Ma’naviyat va ma’rifat markazining tuman (shahar) bo‘linmalari tizimidagi ma’naviyat va ma’rifat maskanlari moddiy-texnik bazasini mustahkamlash chora-tadbirlari to‘g‘risida” 2025-yil 3-martdagi 138-sonli, shu haqidagi qarori hamda shu mazmundagi viloyat hokimining 2025-yil 7-martdagi 113-6-0-Q/25-sonli qarori ijrosi haqida
O‘zbekiston Respublikasi Prezidentining “Yoshlar tadbirkorligini rivojlantirish va bandligini ta’minlashga doir qo‘shimcha chora-tadbirlar to‘g‘risida” 2025-yil 14-fevraldagi PQ–62-son qarori ijrosi haqida viloyati hokimining 2025-yil 28-fevraldagi 98-6-0-Q/25-sonli qarori ijrosi haqida
O‘zbekiston Respublikasi Prezidentining “Yoshlar tadbirkorligini hamda ularning bandligini ta’minlashga qaratilgan biznes loyihalarni qo‘llab-quvvatlash tizimini takomillashtirish chora-tadbirlari to‘g‘risida” 2025-yil 14-fevraldagi PQ–60-sonli, shu haqdagi viloyat hokimining 2025-yil 28-fevraldagi 96-6-0-Q/25-sonli qarorlari ijrosi haqidaNamangan viloyati hokimining 2025-yil 6-martdagi 31-6-0-F/25-sonli farmoyishini ijrosini ta`minlash
“O‘zbekiston Respublikasi Prezidentining “Uzagrostar xolding” kompaniyasi faoliyatini tashkil etish to‘g‘risida” 2025-yil 14-fevraldagi PQ–57-sonli, shu haqdagi qarori hamda shu mazmundagi viloyat hokimining 2025-yil 24-fevraldagi 87-6-0-Q/25-sonli qarori ijrosi haqida.
“O‘zbekiston Respublikasi Vazirlar Mahkamasining 2025-yil 18-fevraldagi “Davlat xaridlarida yagona yetkazib beruvchilar reyestriga kiritish bo‘yicha davlat xizmatlarini ko‘rsatishning ma’muriy reglamentini tasdiqlash to‘g‘risida”gi 102-sonli, shu haqdagi qarori hamda shu mazmundagi viloyat hokimining 2025-yil 27-fevraldagi 91-6-0-Q/25-sonli qarori ijrosi haqida.Qarorga tuzatish kiritish to‘g‘risida
Qarorga tuzatish kiritish to‘g‘risida
O‘zbekiston Respublikasi “Byudjet Kodeksi”ning 73-moddasiga asosan
Namangan viloyat hokimining 2025 yil 5 fevraldagi “Namangan viloyatida milliylikni keng targ‘ib qilishga doir qo‘shimcha chora-tadbirlar to‘g‘risida”gi 52-6-0-Q/25-son qarori ijrosini ta’minlash haqida
Uychi tumanidagi ichimlik suv inshooti va tarmoqlarini rekonstruksiya qilish hamda quyosh panellari oʻrnatish uchun loyiha hujjatlarini ishlab chiqish, ichimlik suv inshooti va tarmoqlarini rekonstruksiya qilishga ruxsat berish to‘g‘risida
O‘zbekiston Respublikasi Prezidentining 2025-yil 24-fevraldagi “Osiyo taraqqiyot banki ishtirokida “Perinatal xizmatlarni takomillashtirish” investitsiya loyihasini amalga oshirish chora-tadbirlari to‘g‘risida” PQ–69-sonli qarori ijrosi haqida”gi viloyat hokimining 2025-yil 28-fevraldagi 94-6-0-Q/25-sonli qarori ijrosi to‘g‘risida
O‘zbekiston Respublikasi Prezidentining 2025-yil 27-fevraldagi PQ-76-sonli hamda Namangan viloyat hokimining 2025-yil 28-fevraldagi 105-6-0-Q/25-sonli qarorlari ijrosi haqida
Qarorga tuzatish kiritish to‘g‘risida
Xalq deputatlarining tuman Kengashining hamda O‘zbekiston XDP Uychi tumani Kengashi partiya guruhi ish rejasiga muvofiq “Umumta’lim maktablarida sinfdagi o‘quvchilar soni belgilangan normadan ancha yuqoriligi ularni sifatli ta’lim olishiga salbiy ta’sir ko‘rsatishini e’tiborga olib o‘quvchilar sonini optimallashtirish masalalari to‘g‘risida” tumandagi umumiy o‘rta ta’lim muassasalarida olib borilayotgan ishlarni partiya guruhi tomonidan o‘rganish yakunlari haqida
O‘zbekiston Respublikasi Vazirlar Mahkamasining 2025-yil 17-yanvardagi“Ko‘p kvartirali uyning yerto‘lasidan foydalanish tartibi to‘g‘risidagi nizomgao‘zgartirish va qo‘shimchalar kiritish haqida” 17-sonli qarori shu mazmundagiviloyat hokimining 2025-yil 28-fevraldagi 102-6-0-Q/25-sonli qarori to‘g‘risida ( https://e-qaror.gov.uz/doc/2290870 )
O‘zbekiston Respublikasi Prezidentining “Tahliliy va tadqiqotchilikfaoliyatini tashkil qilish bo‘yicha qo‘shimcha chora-tadbirlar to‘g‘risida” 2025-yil 10-fevraldagi PQ–48-sonli, shu haqdagi qarori hamda shu mazmundagi viloyathokimining 2025-yil 20-fevraldagi 80-6-0-Q/25-sonli qarori ijrosi haqida (https://e-qaror.gov.uz/doc/2286637)
“O‘zbekiston Respublikasi Prezidentining 2025-yil 30-yanvardagi “Aholiniijtimoiy himoya qilish tizimini moliyalashtirish tartib-taomillarinitakomillashtirish to‘g‘risida”gi PF-17-sonli, shu haqdagi Farmoni hamda shumazmundagi viloyat hokimining 2025-yil 17-fevraldagi 75-6-0-Q/25-sonli qaroriijrosi haqida. ( https://e-qaror.gov.uz/doc/2286622 )
“O‘zbekiston Respublikasi Vazirlar Mahkamasining 2025-yil29-yanvardagi “Oliy ma’lumotli kadrlarga davlat buyurtmasini shakllantirishtartibi to‘g‘risidagi nizomni tasdiqlash haqida”gi 49-sonli qarori hamda shumazmundagi viloyat hokimining 2025-yil 12-fevraldagi 64-6-0-Q/25-sonli qaroriijrosi haqida.( https://e-qaror.gov.uz/doc/2286592 )
O‘zbekiston Respublikasi Prezidentining “2025-yilgi Navro‘z umumxalqbayramiga tayyorgarlik ko‘rish va uni o‘tkazish to‘g‘risida” 2025-yil21-fevraldagi PQ-68-sonli qarori ijrosi haqida”gi viloyat hokimining 2025-yil26-fevraldagi 88-6-0-Q/25-sonli qarori ijrosi to‘g‘risida ( https://e-qaror.gov.uz/doc/2286042 )
“O‘zbekiston Respublikasi Prezidentining “Nogironligi bo‘lgan bolalargaijtimoiy xizmat va yordam ko‘rsatish tizimini yanada takomillashtirish bo‘yichaqo‘shimcha choratadbirlar to‘g‘risida” 2025-yil 3-fevraldagi PQ–41-sonli hamdashu mazmundagi viloyat hokimining 2025-yil 11-fevraldagi 63-6-0-Q/25-sonliqarori ijrosi haqida ( https://e-qaror.gov.uz/doc/2286547 )
























































































